編輯:關於Android編程
Matrix的數學原理
在Android中,如果你用Matrix進行過圖像處理,那麼一定知道Matrix這個類。Android中的Matrix是一個3 x 3的矩陣,其內容如下:

Matrix的對圖像的處理可分為四類基本變換:
從字面上理解,矩陣中的MSCALE用於處理縮放變換,MSKEW用於處理錯切變換,MTRANS用於處理平移變換,MPERSP用於處理透視變換。實際中當然不能完全按照字面上的說法去理解Matrix。同時,在Android的文檔中,未見到用Matrix進行透視變換的相關說明,所以本文也不討論這方面的問題。
針對每種變換,Android提供了pre、set和post三種操作方式。其中
set用於設置Matrix中的值。
pre是先乘,因為矩陣的乘法不滿足交換律,因此先乘、後乘必須要嚴格區分。先乘相當於矩陣運算中的右乘。
post是後乘,因為矩陣的乘法不滿足交換律,因此先乘、後乘必須要嚴格區分。後乘相當於矩陣運算中的左乘。
除平移變換(Translate)外,旋轉變換(Rotate)、縮放變換(Scale)和錯切變換(Skew)都可以圍繞一個中心點來進行,如果不指定,在默認情況下是圍繞(0, 0)來進行相應的變換的。
下面我們來看看四種變換的具體情形。由於所有的圖形都是有點組成,因此我們只需要考察一個點相關變換即可。
一、 平移變換
假定有一個點的坐標是
,將其移動到
,再假定在x軸和y軸方向移動的大小分別為:

如下圖所示:

不難知道:

如果用矩陣來表示的話,就可以寫成:

二、 旋轉變換
2.1 圍繞坐標原點旋轉:
假定有一個點
,相對坐標原點順時針旋轉
後的情形,同時假定P點離坐標原點的距離為r,如下圖:

那麼,

如果用矩陣,就可以表示為:

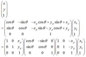
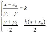
2.2 圍繞某個點旋轉
如果是圍繞某個點
順時針旋轉
,那麼可以用矩陣表示為:

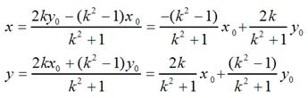
可以化為:

很顯然,
1.
是將坐標原點移動到點
後,
的新坐標。
2.
是將上一步變換後的
,圍繞新的坐標原點順時針旋轉
。
3. 
經過上一步旋轉變換後,再將坐標原點移回到原來的坐標原點。
所以,圍繞某一點進行旋轉變換,可以分成3個步驟,即首先將坐標原點移至該點,然後圍繞新的坐標原點進行旋轉變換,再然後將坐標原點移回到原先的坐標原點。
三、 縮放變換
理論上而言,一個點是不存在什麼縮放變換的,但考慮到所有圖像都是由點組成,因此,如果圖像在x軸和y軸方向分別放大k1和k2倍的話,那麼圖像中的所有點的x坐標和y坐標均會分別放大k1和k2倍,即

用矩陣表示就是:

縮放變換比較好理解,就不多說了。
四、 錯切變換
錯切變換(skew)在數學上又稱為Shear mapping(可譯為“剪切變換”)或者Transvection(縮並),它是一種比較特殊的線性變換。錯切變換的效果就是讓所有點的x坐標(或者y坐標)保持不變,而對應的y坐標(或者x坐標)則按比例發生平移,且平移的大小和該點到x軸(或y軸)的垂直距離成正比。錯切變換,屬於等面積變換,即一個形狀在錯切變換的前後,其面積是相等的。
比如下圖,各點的y坐標保持不變,但其x坐標則按比例發生了平移。這種情況將水平錯切。

下圖各點的x坐標保持不變,但其y坐標則按比例發生了平移。這種情況叫垂直錯切。

假定一個點
經過錯切變換後得到
,對於水平錯切而言,應該有如下關系:

用矩陣表示就是:

擴展到3 x 3的矩陣就是下面這樣的形式:

同理,對於垂直錯切,可以有:

在數學上嚴格的錯切變換就是上面這樣的。在Android中除了有上面說到的情況外,還可以同時進行水平、垂直錯切,那麼形式上就是:
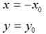
五、 對稱變換
除了上面講到的4中基本變換外,事實上,我們還可以利用Matrix,進行對稱變換。所謂對稱變換,就是經過變化後的圖像和原圖像是關於某個對稱軸是對稱的。比如,
某點 經過對稱變換後得到
,
如果對稱軸是x軸,難麼,

用矩陣表示就是:

如果對稱軸是y軸,那麼,

用矩陣表示就是:

如果對稱軸是y = x,如圖:

那麼,

很容易可以解得:

用矩陣表示就是:

同樣的道理,如果對稱軸是y = -x,那麼用矩陣表示就是:

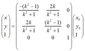
特殊地,如果對稱軸是y = kx,如下圖:

那麼,

很容易可解得:

用矩陣表示就是:

當k = 0時,即y = 0,也就是對稱軸為x軸的情況;當k趨於無窮大時,即x = 0,也就是對稱軸為y軸的情況;當k =1時,即y = x,也就是對稱軸為y = x的情況;當k = -1時,即y = -x,也就是對稱軸為y = -x的情況。不難驗證,這和我們前面說到的4中具體情況是相吻合的。
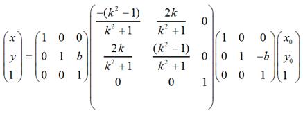
如果對稱軸是y = kx + b這樣的情況,只需要在上面的基礎上增加兩次平移變換即可,即先將坐標原點移動到(0, b),然後做上面的關於y = kx的對稱變換,再然後將坐標原點移回到原來的坐標原點即可。用矩陣表示大致是這樣的:

需要特別注意:在實際編程中,我們知道屏幕的y坐標的正向和數學中y坐標的正向剛好是相反的,所以在數學上y = x和屏幕上的y = -x才是真正的同一個東西,反之亦然。也就是說,如果要使圖片在屏幕上看起來像按照數學意義上y = x對稱,那麼需使用這種轉換:

要使圖片在屏幕上看起來像按照數學意義上y = -x對稱,那麼需使用這種轉換:
關於對稱軸為y = kx 或y = kx + b的情況,同樣需要考慮這方面的問題。
第二部分 代碼驗證
在第一部分中講到的各種圖像變換的驗證代碼如下,一共列出了10種情況。如果要驗證其中的某一種情況,只需將相應的代碼反注釋即可。試驗中用到的圖片:

其尺寸為162 x 251。
每種變換的結果,請見代碼之後的說明。
package compattesttransformmatrix;
import androidappActivity;
import androidcontentContext;
import androidgraphicsBitmap;
import androidgraphicsBitmapFactory;
import androidgraphicsCanvas;
import androidgraphicsMatrix;
import androidosBundle;
import androidutilLog;
import androidviewMotionEvent;
import androidviewView;
import androidviewWindow;
import androidviewWindowManager;
import androidviewViewOnTouchListener;
import androidwidgetImageView;
public class TestTransformMatrixActivity extends Activity
implements
OnTouchListener
{
private TransformMatrixView view;
@Override
public void onCreate(Bundle savedInstanceState)
{
superonCreate(savedInstanceState);
requestWindowFeature(WindowFEATURE_NO_TITLE);
thisgetWindow()setFlags(WindowManagerLayoutParamsFLAG_FULLSCREEN, WindowManagerLayoutParamsFLAG_FULLSCREEN);
view = new TransformMatrixView(this);
viewsetScaleType(ImageViewScaleTypeMATRIX);
viewsetOnTouchListener(this);
setContentView(view);
}
class TransformMatrixView extends ImageView
{
private Bitmap bitmap;
private Matrix matrix;
public TransformMatrixView(Context context)
{
super(context);
bitmap = BitmapFactorydecodeResource(getResources(), Rdrawablesophie);
matrix = new Matrix();
}
@Override
protected void onDraw(Canvas canvas)
{
// 畫出原圖像
canvasdrawBitmap(bitmap, 0, 0, null);
// 畫出變換後的圖像
canvasdrawBitmap(bitmap, matrix, null);
superonDraw(canvas);
}
@Override
public void setImageMatrix(Matrix matrix)
{
thismatrixset(matrix);
supersetImageMatrix(matrix);
}
public Bitmap getImageBitmap()
{
return bitmap;
}
}
public boolean onTouch(View v, MotionEvent e)
{
if(egetAction() == MotionEventACTION_UP)
{
Matrix matrix = new Matrix();
// 輸出圖像的寬度和高度(162 x 251)
Loge("TestTransformMatrixActivity", "image size: width x height = " + viewgetImageBitmap()getWidth() + " x " + viewgetImageBitmap()getHeight());
// 平移
matrixpostTranslate(viewgetImageBitmap()getWidth(), viewgetImageBitmap()getHeight());
// 在x方向平移viewgetImageBitmap()getWidth(),在y軸方向viewgetImageBitmap()getHeight()
viewsetImageMatrix(matrix);
// 下面的代碼是為了查看matrix中的元素
float[] matrixValues = new float[9];
matrixgetValues(matrixValues);
for(int i = 0; i < 3; ++i)
{
String temp = new String();
for(int j = 0; j < 3; ++j)
{
temp += matrixValues[3 * i + j ] + "\t";
}
Loge("TestTransformMatrixActivity", temp);
}
// // 旋轉(圍繞圖像的中心點)
// matrixsetRotate(45f, viewgetImageBitmap()getWidth() / 2f, viewgetImageBitmap()getHeight() / 2f);
//
// // 做下面的平移變換,純粹是為了讓變換後的圖像和原圖像不重疊
// matrixpostTranslate(viewgetImageBitmap()getWidth() * 5f, 0f);
// viewsetImageMatrix(matrix);
//
// // 下面的代碼是為了查看matrix中的元素
// float[] matrixValues = new float[9];
// matrixgetValues(matrixValues);
// for(int i = 0; i < 3; ++i)
// {
// String temp = new String();
// for(int j = 0; j < 3; ++j)
// {
// temp += matrixValues[3 * i + j ] + "\t";
// }
// Loge("TestTransformMatrixActivity", temp);
// }
// // 旋轉(圍繞坐標原點) + 平移(效果同2)
// matrixsetRotate(45f);
// matrixpreTranslate(-1f * viewgetImageBitmap()getWidth() / 2f, -1f * viewgetImageBitmap()getHeight() / 2f);
// matrixpostTranslate((float)viewgetImageBitmap()getWidth() / 2f, (float)viewgetImageBitmap()getHeight() / 2f);
//
// // 做下面的平移變換,純粹是為了讓變換後的圖像和原圖像不重疊
// matrixpostTranslate((float)viewgetImageBitmap()getWidth() * 5f, 0f);
// viewsetImageMatrix(matrix);
//
// // 下面的代碼是為了查看matrix中的元素
// float[] matrixValues = new float[9];
// matrixgetValues(matrixValues);
// for(int i = 0; i < 3; ++i)
// {
// String temp = new String();
// for(int j = 0; j < 3; ++j)
// {
// temp += matrixValues[3 * i + j ] + "\t";
// }
// Loge("TestTransformMatrixActivity", temp);
// }
// // 縮放
// matrixsetScale(2f, 2f);
// // 下面的代碼是為了查看matrix中的元素
// float[] matrixValues = new float[9];
// matrixgetValues(matrixValues);
// for(int i = 0; i < 3; ++i)
// {
// String temp = new String();
// for(int j = 0; j < 3; ++j)
// {
// temp += matrixValues[3 * i + j ] + "\t";
// }
// Loge("TestTransformMatrixActivity", temp);
// }
//
// // 做下面的平移變換,純粹是為了讓變換後的圖像和原圖像不重疊
// matrixpostTranslate(viewgetImageBitmap()getWidth(), viewgetImageBitmap()getHeight());
// viewsetImageMatrix(matrix);
//
// // 下面的代碼是為了查看matrix中的元素
// matrixValues = new float[9];
// matrixgetValues(matrixValues);
// for(int i = 0; i < 3; ++i)
// {
// String temp = new String();
// for(int j = 0; j < 3; ++j)
// {
// temp += matrixValues[3 * i + j ] + "\t";
// }
// Loge("TestTransformMatrixActivity", temp);
// }
// // 錯切 - 水平
// matrixsetSkew(5f, 0f);
// // 下面的代碼是為了查看matrix中的元素
// float[] matrixValues = new float[9];
// matrixgetValues(matrixValues);
// for(int i = 0; i < 3; ++i)
// {
// String temp = new String();
// for(int j = 0; j < 3; ++j)
// {
// temp += matrixValues[3 * i + j ] + "\t";
// }
// Loge("TestTransformMatrixActivity", temp);
// }
//
// // 做下面的平移變換,純粹是為了讓變換後的圖像和原圖像不重疊
// matrixpostTranslate(viewgetImageBitmap()getWidth(), 0f);
// viewsetImageMatrix(matrix);
//
// // 下面的代碼是為了查看matrix中的元素
// matrixValues = new float[9];
// matrixgetValues(matrixValues);
// for(int i = 0; i < 3; ++i)
// {
// String temp = new String();
// for(int j = 0; j < 3; ++j)
// {
// temp += matrixValues[3 * i + j ] + "\t";
// }
// Loge("TestTransformMatrixActivity", temp);
// }
// // 錯切 - 垂直
// matrixsetSkew(0f, 5f);
// // 下面的代碼是為了查看matrix中的元素
// float[] matrixValues = new float[9];
// matrixgetValues(matrixValues);
// for(int i = 0; i < 3; ++i)
// {
// String temp = new String();
// for(int j = 0; j < 3; ++j)
// {
// temp += matrixValues[3 * i + j ] + "\t";
// }
// Loge("TestTransformMatrixActivity", temp);
// }
//
// // 做下面的平移變換,純粹是為了讓變換後的圖像和原圖像不重疊
// matrixpostTranslate(0f, viewgetImageBitmap()getHeight());
// viewsetImageMatrix(matrix);
//
// // 下面的代碼是為了查看matrix中的元素
// matrixValues = new float[9];
// matrixgetValues(matrixValues);
// for(int i = 0; i < 3; ++i)
// {
// String temp = new String();
// for(int j = 0; j < 3; ++j)
// {
// temp += matrixValues[3 * i + j ] + "\t";
// }
// Loge("TestTransformMatrixActivity", temp);
// }
// 錯切 - 水平 + 垂直
// matrixsetSkew(5f, 5f);
// // 下面的代碼是為了查看matrix中的元素
// float[] matrixValues = new float[9];
// matrixgetValues(matrixValues);
// for(int i = 0; i < 3; ++i)
// {
// String temp = new String();
// for(int j = 0; j < 3; ++j)
// {
// temp += matrixValues[3 * i + j ] + "\t";
// }
// Loge("TestTransformMatrixActivity", temp);
// }
//
// // 做下面的平移變換,純粹是為了讓變換後的圖像和原圖像不重疊
// matrixpostTranslate(0f, viewgetImageBitmap()getHeight());
// viewsetImageMatrix(matrix);
//
// // 下面的代碼是為了查看matrix中的元素
// matrixValues = new float[9];
// matrixgetValues(matrixValues);
// for(int i = 0; i < 3; ++i)
// {
// String temp = new String();
// for(int j = 0; j < 3; ++j)
// {
// temp += matrixValues[3 * i + j ] + "\t";
// }
// Loge("TestTransformMatrixActivity", temp);
// }
// // 對稱 (水平對稱)
// float matrix_values[] = {1f, 0f, 0f, 0f, -1f, 0f, 0f, 0f, 1f};
// matrixsetValues(matrix_values);
// // 下面的代碼是為了查看matrix中的元素
// float[] matrixValues = new float[9];
// matrixgetValues(matrixValues);
// for(int i = 0; i < 3; ++i)
// {
// String temp = new String();
// for(int j = 0; j < 3; ++j)
// {
// temp += matrixValues[3 * i + j ] + "\t";
// }
// Loge("TestTransformMatrixActivity", temp);
// }
//
// // 做下面的平移變換,純粹是為了讓變換後的圖像和原圖像不重疊
// matrixpostTranslate(0f, viewgetImageBitmap()getHeight() * 2f);
// viewsetImageMatrix(matrix);
//
// // 下面的代碼是為了查看matrix中的元素
// matrixValues = new float[9];
// matrixgetValues(matrixValues);
// for(int i = 0; i < 3; ++i)
// {
// String temp = new String();
// for(int j = 0; j < 3; ++j)
// {
// temp += matrixValues[3 * i + j ] + "\t";
// }
// Loge("TestTransformMatrixActivity", temp);
// }
// // 對稱 - 垂直
// float matrix_values[] = {-1f, 0f, 0f, 0f, 1f, 0f, 0f, 0f, 1f};
// matrixsetValues(matrix_values);
// // 下面的代碼是為了查看matrix中的元素
// float[] matrixValues = new float[9];
// matrixgetValues(matrixValues);
// for(int i = 0; i < 3; ++i)
// {
// String temp = new String();
// for(int j = 0; j < 3; ++j)
// {
// temp += matrixValues[3 * i + j ] + "\t";
// }
// Loge("TestTransformMatrixActivity", temp);
// }
//
// // 做下面的平移變換,純粹是為了讓變換後的圖像和原圖像不重疊
// matrixpostTranslate(viewgetImageBitmap()getWidth() * 2f, 0f);
// viewsetImageMatrix(matrix);
//
// // 下面的代碼是為了查看matrix中的元素
// matrixValues = new float[9];
// matrixgetValues(matrixValues);
// for(int i = 0; i < 3; ++i)
// {
// String temp = new String();
// for(int j = 0; j < 3; ++j)
// {
// temp += matrixValues[3 * i + j ] + "\t";
// }
// Loge("TestTransformMatrixActivity", temp);
// }
// // 對稱(對稱軸為直線y = x)
// float matrix_values[] = {0f, -1f, 0f, -1f, 0f, 0f, 0f, 0f, 1f};
// matrixsetValues(matrix_values);
// // 下面的代碼是為了查看matrix中的元素
// float[] matrixValues = new float[9];
// matrixgetValues(matrixValues);
// for(int i = 0; i < 3; ++i)
// {
// String temp = new String();
// for(int j = 0; j < 3; ++j)
// {
// temp += matrixValues[3 * i + j ] + "\t";
// }
// Loge("TestTransformMatrixActivity", temp);
// }
//
// // 做下面的平移變換,純粹是為了讓變換後的圖像和原圖像不重疊
// matrixpostTranslate(viewgetImageBitmap()getHeight() + viewgetImageBitmap()getWidth(),
// viewgetImageBitmap()getHeight() + viewgetImageBitmap()getWidth());
// viewsetImageMatrix(matrix);
//
// // 下面的代碼是為了查看matrix中的元素
// matrixValues = new float[9];
// matrixgetValues(matrixValues);
// for(int i = 0; i < 3; ++i)
// {
// String temp = new String();
// for(int j = 0; j < 3; ++j)
// {
// temp += matrixValues[3 * i + j ] + "\t";
// }
// Loge("TestTransformMatrixActivity", temp);
// }
viewinvalidate();
}
return true;
}
}
下面給出上述代碼中,各種變換的具體結果及其對應的相關變換矩陣
1. 平移

輸出的結果:

請對照第一部分中的“一、平移變換”所講的情形,考察上述矩陣的正確性。
2. 旋轉(圍繞圖像的中心點)

輸出的結果:

它實際上是
matrix.setRotate(45f,view.getImageBitmap().getWidth() / 2f, view.getImageBitmap().getHeight() / 2f); matrix.postTranslate(view.getImageBitmap().getWidth()* 1.5f, 0f);
這兩條語句綜合作用的結果。根據第一部分中“二、旋轉變換”裡面關於圍繞某點旋轉的公式,
matrix.setRotate(45f,view.getImageBitmap().getWidth() / 2f, view.getImageBitmap().getHeight() / 2f);
所產生的轉換矩陣就是:

而matrix.postTranslate(view.getImageBitmap().getWidth()* 1.5f, 0f);的意思就是在上述矩陣的左邊再乘以下面的矩陣:

關於post是左乘這一點,我們在前面的理論部分曾經提及過,後面我們還會專門討論這個問題。
所以它實際上就是:

出去計算上的精度誤差,我們可以看到我們計算出來的結果,和程序直接輸出的結果是一致的。
3. 旋轉(圍繞坐標原點旋轉,在加上兩次平移,效果同2)

根據第一部分中“二、旋轉變換”裡面關於圍繞某點旋轉的解釋,不難知道:
matrix.setRotate(45f,view.getImageBitmap().getWidth() / 2f, view.getImageBitmap().getHeight() / 2f);
等價於
matrix.setRotate(45f); matrix.preTranslate(-1f* view.getImageBitmap().getWidth() / 2f, -1f *view.getImageBitmap().getHeight() / 2f); matrix.postTranslate((float)view.getImageBitmap().getWidth()/ 2f, (float)view.getImageBitmap().getHeight() / 2f);
其中matrix.setRotate(45f)對應的矩陣是:

matrix.preTranslate(-1f* view.getImageBitmap().getWidth() / 2f, -1f * view.getImageBitmap().getHeight()/ 2f)對應的矩陣是:

由於是preTranslate,是先乘,也就是右乘,即它應該出現在matrix.setRotate(45f)所對應矩陣的右側。
matrix.postTranslate((float)view.getImageBitmap().getWidth()/ 2f, (float)view.getImageBitmap().getHeight() / 2f)對應的矩陣是:

這次由於是postTranslate,是後乘,也就是左乘,即它應該出現在matrix.setRotate(45f)所對應矩陣的左側。
所以綜合起來,
matrix.setRotate(45f); matrix.preTranslate(-1f* view.getImageBitmap().getWidth() / 2f, -1f *view.getImageBitmap().getHeight() / 2f); matrix.postTranslate((float)view.getImageBitmap().getWidth()/ 2f, (float)view.getImageBitmap().getHeight() / 2f);
對應的矩陣就是:

這和下面這個矩陣(圍繞圖像中心順時針旋轉45度)其實是一樣的:

因此,此處變換後的圖像和2中變換後的圖像時一樣的。
4. 縮放變換

程序所輸出的兩個矩陣分別是:

其中第二個矩陣,其實是下面兩個矩陣相乘的結果:

大家可以對照第一部分中的“三、縮放變換”和“一、平移變換”說法,自行驗證結果。
5. 錯切變換(水平錯切)

代碼所輸出的兩個矩陣分別是:

其中,第二個矩陣其實是下面兩個矩陣相乘的結果:

大家可以對照第一部分中的“四、錯切變換”和“一、平移變換”的相關說法,自行驗證結果。
6. 錯切變換(垂直錯切)

代碼所輸出的兩個矩陣分別是:

其中,第二個矩陣其實是下面兩個矩陣相乘的結果:

大家可以對照第一部分中的“四、錯切變換”和“一、平移變換”的相關說法,自行驗證結果。
7. 錯切變換(水平+垂直錯切)

代碼所輸出的兩個矩陣分別是:

其中,後者是下面兩個矩陣相乘的結果:

大家可以對照第一部分中的“四、錯切變換”和“一、平移變換”的相關說法,自行驗證結果。
8. 對稱變換(水平對稱)

代碼所輸出的兩個各矩陣分別是:

其中,後者是下面兩個矩陣相乘的結果:

大家可以對照第一部分中的“五、對稱變換”和“一、平移變換”的相關說法,自行驗證結果。
9. 對稱變換(垂直對稱)

代碼所輸出的兩個矩陣分別是:

其中,後者是下面兩個矩陣相乘的結果:

大家可以對照第一部分中的“五、對稱變換”和“一、平移變換”的相關說法,自行驗證結果。
10. 對稱變換(對稱軸為直線y = x)

代碼所輸出的兩個矩陣分別是:

其中,後者是下面兩個矩陣相乘的結果:
大家可以對照第一部分中的“五、對稱變換”和“一、平移變換”的相關說法,自行驗證結果。
11. 關於先乘和後乘的問題
由於矩陣的乘法運算不滿足交換律,我們在前面曾經多次提及先乘、後乘的問題,即先乘就是矩陣運算中右乘,後乘就是矩陣運算中的左乘。其實先乘、後乘的概念是針對變換操作的時間先後而言的,左乘、右乘是針對矩陣運算的左右位置而言的。以第一部分“二、旋轉變換”中圍繞某點旋轉的情況為例:

越靠近原圖像中像素的矩陣,越先乘,越遠離原圖像中像素的矩陣,越後乘。事實上,圖像處理時,矩陣的運算是從右邊往左邊方向進行運算的。這就形成了越在右邊的矩陣(右乘),越先運算(先乘),反之亦然。
當然,在實際中,如果首先指定了一個matrix,比如我們先setRotate(),即指定了上面變換矩陣中,中間的那個矩陣,那麼後續的矩陣到底是pre還是post運算,都是相對這個中間矩陣而言的。
以上就是本文的全部內容,希望對大家的學習有所幫助,也希望大家多多支持本站。
Android Drawable之GradientDrawable
GradientDrawable可以在res/drawable目錄下以xml文件用標簽來定義。看看官方文檔給出的xml定義說明吧。
Android開發之程序員必須要懂得Android的重要設計理念2
上篇文章介紹了Android開發的設計理念的一部分,並沒有得到博友們的多大認可,只看到了一位博友在下面留言期待下一篇文章的發表,為了這小小的唯一支持,我決定繼續把後面的8
android使用 ScrollerView 實現 可上下滾動的分類欄實例
如果不考慮更深層的性能問題,我個人認為ScrollerView還是很好用的。而且單用ScrollerView就可以實現分類型的RecyclerView或ListView所
Android樣式的開發:layer-list實例詳解
上圖Tab的背景效果,和帶陰影的圓角矩形,是怎麼實現的呢?大部分的人會讓美工切圖,用點九圖做背景。但是,如果只提供一張圖,會怎麼樣呢?比如,中間的Tab背景紅色底線的像素
Android4.4 ContentResolver查詢圖片無效 及 圖庫刪除 增加圖片後,ContentResolver不更新的問題解決
問題背景: 參考鏈接 做了一個圖片浏覽,用ContentResolver