編輯:關於Android編程
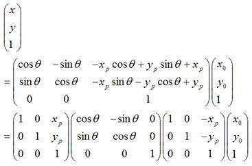
Matrix ,中文裡叫矩陣,高等數學裡有介紹。Android中的Matrix類是一個3x3的位置坐標矩陣,在圖像處理方面,主要是用於平面的縮放、平移、旋轉等操作。
首先了解下這個3 x 3的矩陣,其內容如下所示:

Matrix的對圖像的處理可分為四類基本變換:
從字面上理解,矩陣中的MSCALE用於處理縮放變換,MSKEW用於處理錯切變換,MTRANS用於處理平移變換,MPERSP用於處理透視變換。實際中當然不能完全按照字面上的說法去理解Matrix。同時,在Android的文檔中,未見到用Matrix進行透視變換的相關說明,所以本文也不討論這方面的問題。
針對每種變換,Android提供了pre、set和post三種操作方式。其中:
set用於設置Matrix中的值。 pre是先乘,因為矩陣的乘法不滿足交換律,因此先乘、後乘必須要嚴格區分。先乘相當於矩陣運算中的右乘。 post是後乘,因為矩陣的乘法不滿足交換律,因此先乘、後乘必須要嚴格區分。後乘相當於矩陣運算中的左乘。除平移變換(Translate)外,旋轉變換(Rotate)、縮放變換(Scale)和錯切變換(Skew)都可以圍繞一個中心點來進行,如果不指定,在默認情況下是圍繞(0, 0)來進行相應的變換的。
下面我們來看看四種變換的具體情形。由於所有的圖形都是有點組成,因此我們只需要考察一個點相關變換即可。
假定有一個點的坐標是
△x =
△y =
如下圖所示:

不難知道:
如果用矩陣來表示的話,就可以寫成:

假定有一個點的坐標是

那麼,

如果用矩陣,就可以表示為:<喎?/kf/ware/vc/" target="_blank" class="keylink">vcD4NCjxwPjxpbWcgYWx0PQ=="這裡寫圖片描述" src="/uploadfile/Collfiles/20161006/20161006103139557.jpg" title="\" />
如果是圍繞某個點

可以化為:

很顯然:
如下圖所示,是將坐標原點移動到點


所以,圍繞某一點進行旋轉變換,可以分成3個步驟,即首先將坐標原點移至該點,然後圍繞新的坐標原點進行旋轉變換,再然後將坐標原點移回到原先的坐標原點。
理論上而言,一個點是不存在什麼縮放變換的,但考慮到所有圖像都是由點組成,因此,如果圖像在x軸和y軸方向分別放大k1和k2倍的話,那麼圖像中的所有點的x坐標和y坐標均會分別放大k1和k2倍,即:
用矩陣表示就是:

縮放變換比較好理解,就不多說了。
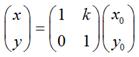
錯切變換(skew)在數學上又稱為Shear mapping(可譯為“剪切變換”)或者Transvection(縮並),它是一種比較特殊的線性變換。錯切變換的效果就是讓所有點的x坐標(或者y坐標)保持不變,而對應的y坐標(或者x坐標)則按比例發生平移,且平移的大小和該點到x軸(或y軸)的垂直距離成正比。錯切變換,屬於等面積變換,即一個形狀在錯切變換的前後,其面積是相等的。
比如下圖,各點的y坐標保持不變,但其x坐標則按比例發生了平移。這種情況將水平錯切。

下圖各點的x坐標保持不變,但其y坐標則按比例發生了平移。這種情況叫垂直錯切。

假定一個點
用矩陣表示就是:

擴展到3 x 3的矩陣就是下面這樣的形式:

同理,對於垂直錯切,可以有:

在數學上嚴格的錯切變換就是上面這樣的。在Android中除了有上面說到的情況外,還可以同時進行水平、垂直錯切,那麼形式上就是:

除了上面講到的4中基本變換外,事實上,我們還可以利用Matrix,進行對稱變換。所謂對稱變換,就是經過變化後的圖像和原圖像是關於某個對稱軸是對稱的。比如,某點 經過對稱變換後得到,
如果對稱軸是x軸,難麼,
用矩陣表示就是:

如果對稱軸是y軸,那麼,
用矩陣表示就是:

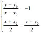
如果對稱軸是y = x,如圖:

那麼,

很容易可以解得:
用矩陣表示就是:

同樣的道理,如果對稱軸是y = -x,那麼用矩陣表示就是:

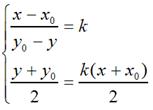
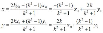
特殊地,如果對稱軸是y = kx,如下圖:

那麼,

很容易可解得:

用矩陣表示就是:

當k = 0時,即y = 0,也就是對稱軸為x軸的情況;當k趨於無窮大時,即x = 0,也就是對稱軸為y軸的情況;當k =1時,即y = x,也就是對稱軸為y = x的情況;當k = -1時,即y = -x,也就是對稱軸為y = -x的情況。不難驗證,這和我們前面說到的4中具體情況是相吻合的。
如果對稱軸是y = kx + b這樣的情況,只需要在上面的基礎上增加兩次平移變換即可,即先將坐標原點移動到(0, b),然後做上面的關於y = kx的對稱變換,再然後將坐標原點移回到原來的坐標原點即可。用矩陣表示大致是這樣的:

需要特別注意:在實際編程中,我們知道屏幕的y坐標的正向和數學中y坐標的正向剛好是相反的,所以在數學上y = x和屏幕上的y = -x才是真正的同一個東西,反之亦然。也就是說,如果要使圖片在屏幕上看起來像按照數學意義上y = x對稱,那麼需使用這種轉換:

要使圖片在屏幕上看起來像按照數學意義上y = -x對稱,那麼需使用這種轉換:

關於對稱軸為y = kx 或y = kx + b的情況,同樣需要考慮這方面的問題。
Android開發之控制Toast的開啟與關閉
開發這個程序之前先解釋一下,為什麼Toast信息提示框在顯示一定時間後會自動消失?因為在Android系統中有一個Toast隊列,系統會依次從這個隊列中取出一個Toast
仿約會吧應用詳情頁,評論欄隨Recyclerview滑動左右移動
背景最近在玩一個叫“約會吧”的應用,也是在看直播app,默認下載安裝的,安裝點進去看這個應用做的不錯,就留下來了。然後看他們動態詳情頁底部有一個效
Android廣播BroadcastReceiver
Android廣播BroadcastReceiver Android 系統裡定義了各種各樣的廣播,如電池的使用狀態,電話的接收和短信的接收,開機啟動都會產生一個
Android Studio下運行開源項目9GAG遇到的問題
首先是本地的build-tools版本不是開源項目所使用的,本來Android Studio點擊出錯提示會自動下載的,但是天朝把google的所有鏈接都封了,所以你懂的&