Android教程網
  1. 首頁
  2. Android 技術
  3. Android 手機
  4. Android 系統教程
  5. Android 游戲
 Android教程網 >> Android技術 >> 關於Android編程 >> 運動目標跟蹤(八)--時空上下文(STC)跟蹤原理

運動目標跟蹤(八)--時空上下文(STC)跟蹤原理

編輯:關於Android編程

從原理可以看出,STC在相機運動環境中,效果不會太好,尤其是在高速運動環境下。因為高速運動環境,背景幾乎與前景一起運動,這與其核心原理是違背的,其次,時間上下文關系,也是低速環境下的經驗值,實際會出現跟不上的問題(完全與時間上下文相關的參數有關)。

其優點在於固定背景下,遮擋問題的魯棒性。
 

一.前言

《Fast Tracking via Spatio-Temporal Context Learning》是Kaihua Zhang等人發表的一篇文章,文中提到了通過利用時空上下文進行視覺跟蹤,具有很好的實時性和魯棒性。該算法基於貝葉斯框架,建立了我們感興趣的目標與周圍內容的時空關系,在低階特征上(如圖像灰度和位置)對目標與附近區域進行了統計關系建模。通過計算置信圖(confidence map),找到似然概率最大的位置,即為跟蹤結果。

算法的計算過程主要是利用了傅立葉快速變換,目前作者已經提供了matlab源代碼,該代碼在i7機器上運行速度可以達到350FPS,速度效果著實明顯!在本篇博客的最後,我也對代碼進行了整理,完善,代碼中有什麼不足的地方,希望大家能夠積極指正。

 

二.走進STC

視覺跟蹤領域中,由我們感興趣的目標物體與它附近一定區域范圍內的背景共同組成局部上下文(見下圖紅色框)。因此,局部上下文在連續幀中存在著很強的時空關系。例如,圖中女生的臉部發生了明顯的遮擋現象,但是對於局部區域來說,只是一部分發生了變化,背景以及遮擋部分與背景之間的相對位置並未發生明顯改變,利用這一點,局部上下文就可以在下一幀幫助預測到目標出現的位置。 \ 通常來說,時間上下文幫助我們目標位置,而空間上下文則能提供更精確的信息幫助我們區分目標和背景。利用時空上下文可以實現快速,魯棒的跟蹤物體,其基本的算法流程如下: 1)基於目標與它局部區域內背景的空間關系建立一個空間上下文模型。 2)利用空間上下文模型對下一幀的時空上下文模型進行更新。 結合時空上下文信息,對圖像進行卷積操作,獲得置信圖,並求得它的最大似然概率位置作為最佳目標位置。  

三.具體公式

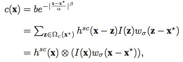
上面一部分提到了要獲得目標的跟蹤位置,我們需要獲得當前幀的置信圖。論文中給出了置信圖的公式:   \   x表示目標位置,o表示目標出現。假定當前幀中,我們已經知道了目標位置為X*,則從圖像中我們可以獲得特征:\,I(z)表示位置z處的圖像灰度,\表示目標X*的局部區域。   \     上述公式中,我們可以看到C(x)分成了兩部分相乘,其中 條件概率P(x|c(z),o)對目標和它的上下文信息進行了空間關系建模,這也是整個算法過程中的主要環節。而上下文先驗概率P(c(z)|o)對局部上下文信息進行了建模(見上圖),也即是,局部區域內每個點z為目標的概率。   以下就公式中具體的每個環節進行分析,結合整體流程更利於理解該算法,首先,先列出算法的整體運行流程:   \

A.空間上下文模型(Spatial Context Model)

公式:\;   分析:條件概率函數表示了目標位置X*與局部區域內點z之間的相對距離以及方向關系,因此反映了目標與周圍區域的空間關系。由於\不是一個徑向對稱函數,因此能幫助解決分辨二異性問題。比如在上面提到的一副圖中,Zl和Zr與X*的相對距離是相等的,但是方向不同,因此會產生不同的空間關系,即:\;  

B.上下文先驗概率模型(Context prior Model)

公式:\;   分析:I(z)表示z處的灰度值,\表示權重函數(a為歸一化參數,保證概率取值范圍為[0,1],sigma表示尺度參數)。通常距離目標X*越近的點對於跟蹤目標越重要,因此賦予它更大的權重。  

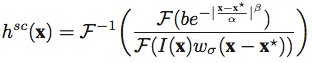
C.置信圖(Confidence Map)

公式:\;   分析:論文中這部分主要是對參數beta進行了討論,經過實驗論證,認為beta=1時,跟蹤的結果最魯棒;  

D.快速學習空間上下文模型(Fast Learning Spatial Context Model)

公式: \   分析:只要我們獲得了置信圖以及上下文先驗概率模型,我們就可以獲得空間上下文先驗模型。通過傅立葉變換,將上述公式轉換到頻率域進行運算,即:\;進而,我們可以求得:\;  

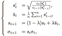
E.最後一步,跟蹤

我們假定在第一幀時已經通過手動或者一些檢測算法對跟蹤目標進行了選取。在第t幀時,我們得到此時的空間上下文模型\,並用它來更新時空上下文模型\,具體更新公式為:\。在第t+1幀時,我們基於t幀目標位置裁剪出局部區域\,,構建特征集\,通過求得t+1幀時的置信圖的最大似然概率位置(\,其中:\),獲得新的目標位置。 尺度更新: \
  1. 上一頁:
  2. 下一頁:
熱門文章
閱讀排行版
Copyright © Android教程網 All Rights Reserved